您好!欢迎来到乐鱼平台! 客服热线:
86-0755-26718755
我的订单
购物车
English
乐鱼(中国)
关于睿迅
公司介绍
公司资质
产品中心
技术支持
定制服务
售后服务
目录下载
最新文献
化学视频
合作拓展
招贤纳士
高校合作
促销活动
乐鱼平台
联系我们
当前位置:
乐鱼(中国)
产品中心
有机光热 OPT
产品中心
给体中间体 DI
苯并二噻吩类 Benzodithiophene (BDT)
硼苯并萘Borabenzonaphtho(BN)
苯并三噻吩类 Benzotrithiophene (BTT)
引达省并二噻吩类 Indacenodithiophene (IDT)
三稠并二噻吩类 Tris(thienothiophene) (TTT)
噻吩类 Thiophene (TH)
噻吩乙烯噻吩类 Thienovinylthiophene (TVT)
苯胺类 Phenylamine (PA)
四苯基乙烯类 Tetraphenylethylene (TPE/TPV)
芴类 Fluorene (FL)
硅芴类 Silafluorene (SFL)
螺芴类 Spirofluorenethioxanthene (SFT)
螺芴氧杂蒽类 Spiro[fluorene-9,9'-xanthene] (SFX)
螺吖芴类Spiroacridinefluorene (SFA)
苯并吲哚类 BenzIndole (BID)
咔唑类 Carbazole (CZ)
咔唑并苯并呋喃类 Carbazole benzofuran (CBF)
苯并吲哚类 Benzindole (BD)
吩嗪/吩恶嗪/吩噻嗪类 Phenazine/Phenoxazine/Phenothiazine (PZ/POZ/PTZ)
萘类 Naphthalene(NP)
二噻吩并环芴二烯类 Dithienocyclopenta (DTC)
二噻吩并噻咯类 Dithienosilole (DTS)
二噻吩并吡咯类 Dithienopyrrole (DTP)
苯类 Benzene (BZ)
菲类 Phenanthrene (PNT)
茚并芴类 Indenofluorene (IF)
硒吩类 Selenophene/selenophenothiophene (SE/ST)
苯并四噻吩类 Benzoquarterthiophene (BQT)
受体中间体 AI
并二噻吩吡咯苯并噻二唑类 Thienothiophenpyrrolobenzothiadiazole (TPB, Y6)
苯并咪唑 benzimidazol (BIZ)
苯并呋喃类 Benzodifuran(BDF)
并二噻吩吡咯苯并噻二唑类 Thienothiophenpyrrolobenzothiadiazole (BTP, Y6)
二噻吩并苯并噻二唑类/DiThieno-benzothiadiazole (TBT/TDQ, D18/PQM)
吡咯并吡咯二酮类 Diketopyrrolopyrrole (DPP)
吡啶类/吡嗪类 Pyridines/Pyrazine (COFMOF-PY)
苯并氧二唑类 Benzooxadiazole (BO)
苯并噻二唑类 Benzothiadiazole (BT)
苯并硒二唑类 Benzoselenadiazole (BS)
苯并双噻二唑类 Benzobisthiadiazole (BBT)
双噻吩酰亚胺类 Bithiophene Imide (BTI)
萘四羧酸二酰亚胺类 Naphthalenediimide (NDI)
三嗪类 Triazine (COFMOF-TRZ)
苝四羧酸二酰亚胺类 Perylenediimide (PDI)
苝类 Perylene (PL)
氰基茚酮类/醌式结构 Indanone-cyano (IC)/Quinone(QC)
环戊二烯并噻吩类 Cyclopenta-thiophen (CPT)
罗丹宁类 Rhodanine (RDN)
苯并二噻吩二酮类 Benzodithiophene-dione (BDD)
蒽类 Anthracene (ANT)
卟吩类 Porphine (PP)
喹啉/Quinoline (QL)
菲 Phenanthrene(PNT)
噻吩并呋喃 Thienofuran(TFR)
吡咯硼 BODIPY (BDP)
噻唑类 Thiazole (TZ)
并二噻吩吡咯苯并三氮唑类 (Thienothiophenpyrrolobenzotriazole TPT)
吡啶类 Pyridines (PY)
喹喔啉类 Quinoxaline (QX)
噻吩喹喔啉类 Thiadiazolquinoxaline (TQX)
噻吩并吡嗪类 Thienopyrazine (TP)
异靛蓝类 Isoindigo (IID)
噻吩并吡咯二酮类 Thienopyrroledione (TPD)
苯并吡咯二酮类 Benzopyrroledione (BPD)
苯并三唑类 Benzotriazole (BTZ)
噻二唑并苯并三唑类 Thiadiazolobenzotriazole (TBZ)
吡啶并噻二唑类 Pyridinethiadiazole (PT)
噻吩并[3,4-b]噻吩类 Thieno[3,4-b]thiophene (TT)
三唑并喹喔啉
萘并二噻二唑类 Naphthothiadiazole (NT)
噻吨酮类 Thioxanthone (TX)
有机光伏 OPV
有机光伏小分子给体 OPV-SD
有机光伏小分子受体 OPV-SA
有机光伏小分子界面材料 OPV-SIM
有机光伏聚合物给体 OPV-PD
有机光伏聚合物受体 OPV-PA
有机光伏聚合物界面材料 OPV-PIM
室内有机光伏 IOPV
有机电致发光 OLED
有机电致发光材料 OLED
空穴注入材料 HIM
空穴传输材料 HTM
电子阻隔材料 EBM
客体材料 DM
磷光主体材料 PHM
荧光主体材料 FHM
电子注入材料 EIM
电子传输材料 ETM
空穴阻隔材料 HBM
金属材料 MM
热激活延迟荧光材料 TADF
热激活延迟荧光主体材料
热激活延迟荧光掺杂材料 (TADF)
有机场效应晶体管 OFET
有机场效应晶体管材料 OFETM
苯并咪唑 benzimidazol(BIZ)
钙钛矿太阳能 PVSC
空穴传输材料 HTM
前驱体
PSCs 钝化剂材料
聚集诱导发光 AIE
聚集诱导发光中间体 AIE-INT
四苯基乙烯类 Tetraphenylethylene (AIE-TPE)
聚集诱导发光材料 AIEM
碳纳米管提纯 CNTS
碳纳米管提纯聚合物 CNTSP
有机光热 OPT
有机光热治疗材料 OPTTM
有机光热海水淡化材料 OPTSEM
有机光催化 OPC
有机光催化制氢材料 OPC-H2
有机光电探测器 OPD
有机光电探测器材料 OPDM
有机电致变色 OEC
有机电致变色材料 OECM
有机热电 OTE
有机热电材料 OTEM
有机生物传感 OBS
有机电化学晶体管材料 OECTM
有机电子皮肤 OES
柔性印刷电子 FPE
有机太阳能电池聚合物
有机薄膜/场效晶体管聚合物
空穴传输层 / 空穴注入层聚合物
主体层聚合物
发光层聚合物
共轭/金属有机框架 COF/MOF
共轭/金属有机框架配体 COF/MOF-Ligand
偶氮苯类 Azobenzene (COFMOF-AZO)
苯并噻二唑类 Benzothiadiazole (COFMOF-BT)
苯类 Benzene (COFMOF-BZ)
苯并三噻吩类 Benzotrithiophene (COFMOF-BTT)
苯乙炔基类 Phenylethynyl (COFMOF-PE)
吡嗪并喹喔啉类 Pyrazino-quinoxaline (COFMOF-PQX)
菲咯啉类 Phenanthroline (COFMOF-PTL)
吩噻嗪类 Phenothiazine (COFMOF-PTZ)
芘类 Pyrene (COFMOF-PYR)
哌嗪二基类 Piperazinediyl (COFMOF-PZ)
噻吩类 Thiophene (COFMOF-TH)
四苯基乙烯类 Tetraphenylethylene (COFMOF-TPE)
四硫富瓦烯类 Tetrathiafulvalene (COFMOF-TTF)
蜜乐胺(COFMOF-ML)
共轭/金属有机框架材料 COFM/MOFM
其他 Others
烷基链 Alkyl Chain
其他共轭化合物(Other Compounds)
科研耗材 (非化学品) Consumables (Non-Chemical)
有机光热 OPT
Poly(BT016+TH096)
CAS:
货号:P0188
聚[[4,4-双(2-乙基己基)-4H-环戊基[2,1-b:3,4-b']二噻吩-2,6-二基]-2,5-噻吩二基]
CAS:1314115-74-6
货号:P0311
4-乙基-4-己基-2-甲基-6-(5-甲基噻吩-2-基)-4H-硅醚[3,2-b:4,5-b']二噻吩
CAS:
货号:P0312
P0314
CAS:2511590-81-9
货号:P0314
聚[[4,4-双(2-乙基己基)-4H-环戊基[2,1-b:3,4-b']二噻吩-2,6-二基][2,2'-二噻吩]-5,5'-二基]
CAS:1228493-20-6
货号:P0316
NIR-C1
CAS:1070910-98-3
货号:S7300
BBT-2
CAS:1122570-32-4
货号:S7303
4,4'-(苯并[C][1,2,5]噻二唑-4,7-二基)双(N,N-二苯基苯胺)
CAS:333432-20-5
货号:S7310
2TT-oC6B
CAS:2374701-13-8
货号:S7315
TPACNBz
CAS:2641008-10-6
货号:S7318
2TT-mC6B
CAS:2357184-83-7
货号:S7325
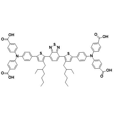
4,4',4'',4'''-((苯并[c][1,2,5]噻二唑-4,7-二基双(4-(2-乙基己基)噻吩-5,2-二基))双(4,1-苯撑))双(氮杂三基))四苯甲酸
CAS:
货号:S7327
S7328
CAS:
货号:S7328
4,4'-([1,2,5]噻二唑并[3,4-c]吡啶-4,7-二基)双(N,N-二(4-(叔丁基)苯基)苯胺)
CAS:
货号:S7333
4,4'-(萘并2,3-c噻二唑-4,9-二基)双(N,N-双(4-叔丁基苯基)苯胺)
CAS:
货号:S7334
4,4'-[2λ4δ2-苯并[1,2-C:4,5-C']双[1,2,5]噻二唑-4,8-二基双(4-己基-5,2-噻吩二基)]双四基苯乙烯
CAS:
货号:S7345
2,3-双(4-(萘基-1-(4-(1,2,2-三苯乙烯)基)苯基)氨基)苯基)富马腈
CAS:
货号:S7352
2,3-双(4-(萘基-2-yl(4-(1,2,2-三苯乙烯)苯基)氨基)苯基)富马腈
CAS:
货号:S7353
S7355
CAS:
货号:S7355
5,5-二氟-1,3,7,9-四甲基-10-苯基-2,8-双(4-(1,2,2-三苯基乙烯基)苯基)-5H-4L4,5L4-二吡咯并[1,2-c:2,1'-f][1,3,2]二氮杂硼碱
CAS:1472650-68-2
货号:S7445
TQ-TPA,4,4'-(6,7-二苯基-[1,2,5]噻二唑并[3,4-g]喹喔啉-4,9-二基)双(N,N-二苯基苯胺)
CAS:1104196-56-6
货号:S7515
用户
0
购物车
客服
高校客户 客服
企业客户 客服
电话
86-0755-26718755
86-15889762949
86-13266723223
微信
爱体育登录
|
新宝登录官网
|
爱体育官网
|
ob电子竞技官网
|
星空网页
|
华球在线官网入口
|
完美体育登录页面
|
华球足球直播
|
风云官网首页
|